• google scholor
  • Views: 129

  • PDF Downloads: 3

Climate Change’s Impact on Water Resources, Chak Watershed, Afghanistan

Naqiburahman Rahmani1 * , Homayoun Khoshnod2 , Deva Pratap3 and Venkata Reddy Keesara3

1 Faculty of Remote Sensing and GIS, National Institute of Technology, Warangal, Telangana India

2 Faculty of Hydraulic structure in Integrated Water Resources Management, Kabul Polytechnic University (KPU), Kabul, Afghanistan

3 Department of Civil Engineering, Faculty of Remote Sensing and GIS, National Institute of Technology, Warangal, Telangana India

Corresponding author Email: naqibrahman3@gmail.com

DOI: http://dx.doi.org/10.12944/CWE.20.3.28

The Chak River basin, also known as a watershed, is one of the most important river basins in Afghanistan, particularly in terms of its location and economy. However, with the increasing population and rapid industrial growth in this basin, an analysis is needed to address climate change scenarios. Climatic variables such as temperature, and rainfall are the most important variables that influence the hydrological process. The impact of these variables on hydrology at the basin level is important for the efficient organization of water incomes. Soil and Water Assessment Tool (SWAT) a semi-distributed model, is used in this study to simulate and analyze changes in the hydrological events of the Chak basin, due to climate change, and predict the future flow. Model calibration and sensitivity are performed using the SUFI2 optimization algorithm and the best performance metrics have been obtained using Kling-Gupta efficiency (KGE) as the objective function to calibrate the monthly flow of the outlet. It is observed that the maximum monthly temperature is decreasing by 1.8 ° C in March and from July to October. The minimum monthly temperature is decreasing by 2.7 ° C from May to August in the basin. The precipitation in March shows an increasing trend from 50 mm to 132 mm and stream flow from 48cum to 130cum during the period 2022-2050 which we got from RCP scenarios. The result describes that the basin faces significant transformations in its water equilibrium and hydrology due to future climate change.

Afghanistan; BCC-CSM1.1; CCSM4; Climate change; Chak Watershed; SWAT; SWAT Cup

Copy the following to cite this article:

Rahmani N, Khoshnod H, Pratap D, Keesara V. R. Climate Change’s Impact on Water Resources, Chak Watershed, Afghanistan. Curr World Environ 2025;20(3). DOI:http://dx.doi.org/10.12944/CWE.20.3.28

Copy the following to cite this URL:

Rahmani N, Khoshnod H, Pratap D, Keesara V. R. Climate Change’s Impact on Water Resources, Chak Watershed, Afghanistan. Curr World Environ 2025;20(3).


Download article (pdf)
Citation Manager
Publish History


Article Publishing History

Received: 2025-08-11
Accepted: 2025-10-03
Reviewed by: Orcid Orcid Virendra Singh
Second Review by: Orcid Orcid Prerna Mehta
Final Approval by: Dr. Hemant Kumar

Introduction

The Chak watershed is located in arid and semi-arid area between Latitudes 330 59’ 7’’ to 340 27’ 59’’ and Longitudes 670 37’ 14’’ to 680 65’ 6’’ with an area of 5,831 km2. Topography alpine with steep slopes.1 Max Elevation of 4236m, Min 1912m. Mountains are rocky with sharp peaks, and steep slopes, and the Five largest rivers in terms of the catchment area, follow the Kabul (76, 908 km²) basin.2 The Chak originates from the western slope of the on. Eight main watersheds make up the Kabul water index: 1. Watershed of Kabul; 2. Watershed of Chak & Logar Rod; 3. Watersheds of Ghorband, Panjshir and Alingar. 5. Watershed Kunar, 6. Watershed Shamal, and 7. Watershed Gomal. 8. Watershed of Pishin Lora.3

Many regions in the world, including Chak watershed, are prone to floods and droughts and efficient infrastructures, which will mitigate floods with water collection and subsequent water usage during drought seasons, along with the decrease of water in the irrigation season.4 The Chak watershed is located within Kabul River basin, it always hunted by major floods and caused of the destructions of irrigation lands, water infrastructures, local communities and even some time losing of lives of hundreds of Kochi tribals who lives in the flood zone in this watershed to feed their livestock, the below figure represent the case study area which show the central area of the watershed.5

In this study area, there are four variations in weather seasons classified in a year: winter season which included from (Dec to Feb), is the rainy season and cold season of the year, spring season which included from (March to May), is variable season summer seasons which included from (June to Sep) it is the wet season or heat season and fall season which included from (Oct to Nov.) months. Global heating up is the most prevailing problem of the world in the last three decades.6 Global warming is the result of Green House Gasses (GHGs) and it is an increasing trend in the mean temperature of the Earth surface, the most releasing GHGs are carbon dioxide (CO2), Nitrous oxide NO2, Chloro-Floro-Carbons (CFCs), methane (CH4), water vapor and fossil fuel consumption which are increased due to human fuel consumption activities.7 Due to the past three decades civil war and instability in the country there still a gap of the Hydro metrological data and research on the mentioned watershed.8 This research will be the first in order to help as bridge to future researches, government and scholars who want to fill the gaps. Additionally, ongoing and projected climate change is having a negative impact on irrigation systems. The amount and velocity of water in rivers and streams are changing because there is less snowfall and glaciers are getting smaller.9

South Asia seriously attends to be affected by climate variation impacts because their economy is highly dependent on agriculture. As a result of the quick rise in population, urbanization, hydropower demand, and agriculture, the region's water resources have already been affected. Significant changes are in the global climate cycle of water that causes changes in the regime of precipitation and temperature.3,10 Based on the research investigations in Kabul River basin and according to remote sensing studies, more than 18% glacier surface reduction was found in Afghanistan's glacial regions in 2016.11 In terms of frequency and intensity, the spatial distribution of precipitation regime changes worldwide widely. For sustainable water resource management, social well-being, development of the economy and increase the quality of the environment is necessary to understand the relation between the climate, and hydrological processes.12 ,Their response will increase the knowledge of how the Hydrological systems will change in the future and suggest adaptation methods to mitigate the climate variation effects on water properties. Water is the furthermost central natural resource and living matter component, especially for arid and semi-arid regions which are faced with irregular rainfall, water scarcity, and extreme change in land use due to population growth.13 The effective stewardship of water resources is under the pressure of variation in seasonal streamflow along with an increase in competition of water demands by the growing population. So, for the management of the agricultural watershed, prediction and evaluation are necessary for the stream flow also sustainable development in the sector of water resources, and further study of watersheds is important for the preparation of an adaptation strategy for climate changes in watersheds.14

The parameters which are comparing are surface Changeable, such as Temperature, Precipitation, and wind. Geographic Information Systems and (GIS) Remote Sensing (RS) Over the past few decades, have been using as an impressive tool for climate change analyses and adaptation. The major focus of Remote Sensing applications in hydrology includes the estimation of hydro-metrological states ((LULC)  land use/land cover, surface temperature, water quality, soil moisture, surface roughness, and snow cover), fluxes such as evapotranspiration that can influence hydrologic processes.15,16 The spatial representation of complex hydrologic and hydraulic structures can be achieved by using GIS. It is proposed to undertake a study on the application of a distributed hydrologic model (SWAT) along with RS and GIS techniques.17 Estimation of runoff, sediment and amount of water is necessary for practical problems in watershed management. Hydrological modeling is a mathematical depiction of natural processes that primarily affect the energy and water balances of a watershed, utilized for comprehending the hydrology and hydrological processes within that watershed.

The models generally use mathematical and empirical expressions to define the relationship among the model inputs parameters and output parameters. SWAT is the most widely used model to investigate the problems related to water resources and non-point source pollutions across the globe with various scales and surround conditions.18

Soil and water assessment tools are a spatial semi-distributed or continuous and physically established hydrological model,19 that is designed to examine and predict the water, sediment circulation, and production of agriculture by performing long-term efficient simulations. Development of the model of SWAT is a continuous process and it is the advancement of “the Routing Outputs to Outlets” (ROTO) and the “Simulator for Water Resources in Rural Basins” model (SWRRB). The SWAT model splits the entire basin into sub-basins which are additional sub-separated toward (HRUs) with single land use, vegetation, and soil characteristics.20,21 The SWAT model is using daily climate data (precipitation data, temperature, solar radiation, relative humidity, and wind speed) as inputs and is capable to qualify sediment and water circulation, vegetation development, and circulation of nutrients. SWAT is using SCS- curve number or Green Ampt methods to calculate daily surface runoff when sub-daily precipitation data are available.22,23

General Circulation Models (GCMs) and Regional climatic Models (RCMs) are vital for estimating future climatic data based on the RCP scenarios.19,24 The RCMs are the spatial resolution and are improved gears for dynamic downscaling of climate geographies for a particular area. This study utilizes the Coordinated Regional Climate Downscaling Experiment (CORDEX) to deliver regionally downscaled climate data from the fifth version of the Beijing Climate Centre Climate System Model (BCC-CSM1.1) and the Community Climate System Model Version 4(CCSM4).25

From the glacier mountain ranges of the Hindukush to the Drylands of the South, Afghanistan’s ecosystems are not only stunningly beautiful but provide crucial services. Afghanistan watersheds have significant diversity such as a strong factor of formation of fluvial landforms as their active part and river waters are the serious life force for all people of Afghanistan. In Afghanistan, all watersheds, basins, and sub-basins are mostly sourced from the melting of snow and glaciers of the Hindu Kush and Pamir mountains and flowing since steepest gradients towards lowlands. The whole volume of water is estimated to be about 150000 m3 that falls in the mountains.26 The maximum flow in Afghanistan melted water Source Rivers happening in spring and summer whereas the minimum flow is happening in fall and winter when some large rivers are dried up totally in recent years. Climate researchers have made significant progress in considering the global climate system and pattern, mostly at global and central scales.26,27 Climate investigation is concentrated mainly on accepting climate variations above wider collections of period and planetary scales. Mitigation is done to climate change by using some adaptation techniques or strategies. Tolerable management and planning of the watershed and water resources for the watershed need to evaluate the change under the present and predictions for the future climate, and the evolution of this multiplication of climate variation on the agriculture in the watershed area. It is possible to propose suitable adaption methods for a supportable plan and management of the agriculture of the region built on the Impact consequences.28 The study emphasizes the investigation of upcoming climate conversion effects on the watershed of Chak, Afghanistan using CORDEX RCM and the semi-distributed hydrological model SWAT.

Materials and Methods

Data that are required to use as inputs to run a model in SWAT are; Geospatial data (DEM, soil data, land use/land cover data) and Climate information (Precipitation, Maximum and Minimum Temperature) that are historic and future data. The methodology used in the research is shown in table 1.  According to methodology, spatial data that is required to be collected is the DEM data, Soil data, and Land use/Land cover data of the Chak Watershed and then we could prepare a Slope map from DEM and Soil classes map from soil map by using SWAT in GIS interface. For this area, the climate model data is used and it is obtained from RCM CORDEX – South Asia. The CORDEX data is on a 0.5o pulp for Afghanistan.29 it includes over 300 shingles, which permits a thorough three-dimensional study, particularly for the hilly region of Afghanistan.30

The climate data should be clipped and the quantile mapping bias correction method applied by using R scripts. Then observed data that are collected from a rain gauge station that is located in Chak watershed. Geospatial data of Chak watershed that are used in SWAT model setup and HRUs analysis are DEM, Land use/Land cover as well as soil maps. After the setup of the model, the model will run for observed data with SWAT, and the SWAT model will calculate the runoff of the Chak Logar River basin by using observed data of the study area, calibration and validation are done which shows the SWAT model error.31,32 After getting satisfactory results, the model is applied to historic climate data, and simulations are compared with the observed data.33 Then the model is applied to future climate data to predict the climate variation impacts on water resources in the study area, which includes different watershed units. By SWAT Simulation the assessment of climate variation impacts is carried out. Considering the influences of global climate variation on the water resources of the study area, adaptation strategies can be suggested for future water consumption in agricultural and industrial usage. SWAT in the GIS interface has SWAT Project Setup to create New SWAT Project in a specific directory created for the SWAT project, Watershed Delineator to create watersheds, HRU Analysis to create hydrological response units, Write Input Tables to enter all available climate tables, Edit SWAT Inputs to complete input preparation and SWAT Simulation option to run the simulation and visualize the results7 the figure 1 shows the methodology procedure of the research.

Figure 1: Methodology followed in the present study

Click here to view Figure

Data

The data used for the simulation of the water-related activities in the river basin are accordingly 1. Digital Elevation Model data of 30 m resolution (DEMs), 2. supervised classified Land use/land cover 30 m resolution, 3. Soil data from FAO digital soil map with 1:5,000,000 scale, 4. Weather information for the historical 2006 to 20018 poised from the Ministry of Water and Energy of Afghanistan, 5.The Regional Climate Model (RCM) Combination of CORDEX South Asia, 6. Beijing Climate Centre Climate System Model Version 1.110 (BCC-CSM1.1) and Community Climate System Model Version10 (CCSM4)The details are described in Table 1.

Table 1: data Description

Sort

Format

Description

Sources

DEM

Raster

30m Resolution

USGS Web sits

Land use

Raster

30m Resolution

MAIL/AF

Weather Data
(3 Local station)

DBF

Temperature, wind speed, precipitation, solar radiation, and relative humidity

MEW/AF

Weather Data
(13 Global station)

DBF

Precipitation, Temperature in 0.250X 0.250Resolution

World Climate Research Program me (WCRP),
Earth System Grid Federation (ESGF), Centre for Climate Change Research (CCCR)

Soil

Raster

Soil FAO 1:5,000,000 scale

FAO-UNESCO

Observed Discharge

DBF

Monthly Observed Discharge 2006-2018

MEW/AF

SWAT model

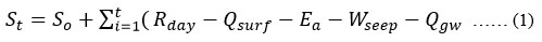
The hydrological distribution model (SWAT) is selected in this research because the model can delineate watershed from a DEM and further divide it into sub-basins. After creating the sub-basins, the model creates multiple hydrological response units (HRUs) based on the basin's soil category, land use, and terrain conditions.29,34 The model imitations that are achieved at HRU ranks are tabloid for the representative sub-basins and water is running scared to its inter-communicated reaches. The model of SWAT specifies the effects of surface runoff, water routing, nutrient loading, evapotranspiration, crop growth, Agricultural management, and weather.35 The model’s hydrological module estimates runoff individually for each sub-basin in the model, and the shallow overflow is projected discretely for individual sub-basin and then directed toward measuring the overall shallow overflow for the turning point. SWAT usages the SCS curve number to compute overflow volume since daily rainfall data. The SWAT model is widely useful to simulate runoff, nutrient modeling, and sediment vintage.20 The data which need as input to the model to delineate and represent the watershed in SWAT are; DEM, LU/LC, soil map, and climate variables which include precipitation, and temperature. These variables are executed at the HRU level in the bottom equation of mass balance is given as follows:29

In the above equation final storage is represented by St (mm), initial storage is represented by So in a day with i (mm), t is shown period of time (days), rainfall is shown by Rday (mm/day), surface runoff represented Qsurf (mm/day), Ea is that the evapotranspiration in the model (mm/day), Wseep is seepage rate for model (mm/day) and return flow is represented by Qgw (mm/day).36,37

The surface runoff is computed by two different methods: one is the Soil Conservation Service (SCS) method and second is Ampt and Green penetration technique, we used the first technique for this research. The equation for explaining the   SCS CN2 is followed by the bottom calculation (2).19

The SCS curve number technique computing the soil’s absorbency, land use and precursor soil water situations as function.38

Watershed delineation

ArcGIS platform is used for watershed delineation in this study, and the Digital Elevation Model (DEM) is used to create the drainage for the specific watershed area and represent the opening area on behalf of its threshold assessment. The Chak watershed is manually divided into 14 sub-watersheds. The land cover Land use and soil information are covered so that the rudimentary elements of modeling in the result of the Hydrologic Response Unit, (HRUs) are adapted. This study is described by obtaining completely land-living types and soil category getting (100 Hectare) or further of sub-basins toward an explanation part of that the negligible land-living types and loam category (100 Hectare of a sub-basin) remained 100 % sub-basin areas re-allotted to mainland usages to reproduce HRUs response.29

The hydrology response unit parameters in the Chak watershed show different models in future periods with some differences but snow-fall, snow-melt, and precipitation have more than 150 mm increase in the future in Fig. 2.

Figure 2: Annual HRU paramter, All paramater (mm) only SedIment  YLD T/HA

Click here to view Figure

Calibration and validation

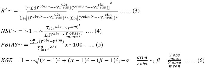
In the amount of skill and metrology, calibration is the assessment of capacity values brought by an expedient below examination with individuals of a calibration regular of known correctness in this procedure, model parameters diverse. Aimed at calibration, validation, and doubt investigation of the SWAT model SWAT-CUP program is used, which SWAT-CUP is open-source software and can be used and copied freely.38 SWAT-CUP is aimed at calibration, validation, sensitivity, and doubt analysis of the SWAT model, it connects to GLUE (Generalized Likelihood Uncertainty Estimation), ParaSol (Parameter Solution), SUFI2 (Sequential Uncertainty Fitting Version 2), MCMC (Markov Chain Monto Carlo), PSO (Particle Swarm Optimization) algorithms to SWAT model.39 The Sequential Uncertainty Fitting Version 2 (SUFI2) has been used for this study area because this procedure gives local and practical solutions and is easy to use and P-Factor is a measure of the degree that all uncertainty accounted to be quantified that the measure of information percentage bracketed by 95 Percent of Prediction Uncertainty (95PPU). R-factor is an additional amount that counts the asset of calibration or uncertainty examination, in which the 95PPU band average strength is alienated by the normal deviation of measured information.10,40

The 95PPU calculated at the growing circulation of a production variable that was achieved from the Latin Hypercube Sampling technique by 2.5% and 97.5% levels and not allowing 5% of bad simulations.41 P-factor and R-factor values are varied from 0 to 100% for the p-factor and 0 to infinity for the r-factor, while a p-factor of 1 (100%) and r-factor of 0 is the ideal situation for simulations corresponding to measured data. SUFI2 handles six different objective functions; regression coefficient (R2) given by Eq. 3 and Nash Sutcliff Efficiency (NSE) given by Eq.4 are showing fitting between observed and the best simulation values and two other types are showing root mean square errors, bR2 which b is the regression line slope between measured and best simulation values and Chi-square, bias (PBIAS) given by Eq. 5, percentage and Kling-Gupta efficiency (KGE) given by Eq. 6 which was used as the objective function.20 In the present study, the following equations were used to analyze the model performance.

Where the observed data is shown by Yobs , the simulated output is described by Ysim , the mean of observed data is shown with Yobsmean, and simulated productivity mean is represented by  Yobsmean, linear regression coefficient among observed and yield of simulated data represented by r, simulated and observed data output are represented by osim sim and oobs as a standard.20

The SWAT distribution model was performed by applying the predefined parameters and after that considered for calibration by applying the SUFI-2 equation. The organized (HRU) numbers and sub-basins were 12 and 150, corresponding.42

Several iterations have been made to complete the simulated result with the observed information. SWAT-CUP offers several different functions. Table 1 shows the primary and last interval of the calibration parameters; the final interval was used accordingly in the validation phase without changes. Upon leaving the study area, the measuring station was used for flow calibration. In the 9-year record, the 2007-2015 period was considered to be the calibration period, and the 2016-2018 period was considered for monthly validation. The trend line for the graph among the observed and simulated competent correlation monthly flow value displays, in Table 2 all sensitivities estimate the average of the variations resulting from the variations of each parameter.

Table 2: SWAT fitted parameters and their descriptions

Name of Parameter

Explanation

fitting value

Disparity methods

GW_DELAY

Ground postponement time

47.265003

Add

GW_REVAP

Groundwater Revap coefficient

0.086690

Replacement

EPCO

Plant uptake recompense factor.

0.958500

Multiply

ALPHA_BF

Bae flow alpha factor

0.767500

Replacement

GWQMN

Threshold depth of water in the shallow aquifer for return flow to occur

-485.000000

Add

TLAPS

Temperature lapse rate

-6.297750

Replacement

IPET

potential evaporation equation

2.000000

Replacement

TIMP

Snow pack and temperature lag factor

0.107500

Replacement

ESCO

Soil evaporation compensation factor

0.958500

Multiply

SMTMP

Snow melts base temperature

3.485000

Replacement

CN2

SCS runoff curve number

-0.072500

Multiply

SOL_AWC

Available water capacity

0.041050

Multiply

SMFMN

Minimum snowmelt rate during a year

1.231250

Replacement

SMFMX

Maximum melt rate for snow during the year

2.071250

Replacement

SFTMP

Snowfall temperature

-3.935000

Replacement

In table 2 all sensitivities estimate the average of the variations resulting from the variations of each parameter in the objective function, while all the parameters are changing and this will give a relative sensitivity based on the linear approximation. The state t provides a measure of sensitivity, which means that a more sensitive value has a high absolute value. The P values define the meaning of sensitivity, it means that the meaning of values close to zero is more than others. Figure 3 shows the sensitivity analysis of the Chak basin.

Figure 3: Calibration and Validation of monthly stream flow (cum).

Click here to view Figure

Figure 3. Shows that monthly stream-flow variation in calibration and validation period of times for both Observed and Simulated values, in which the calibration period from Jan 2007 to Dec 2015 and the Validation period from Jan 2016 to Dec 2018.

The hydrograph and geometric pointers during validation and calibration are given into Table 3, Correspondence. That can be view the model of SWAT consistently underestimating peak flows in calibration while overestimating them in validation. The elevated validation estimates might reflect the possibility that water infiltrating deeply into the aquifer was excluded from the model simulation. The following table provides calibration and validation statistics comparing average monthly simulated and gauged flows.

Table 3: Average monthly simulated and gauged flow calibration and validation statistics

Statistical Parameters

KGE

NSE

R2

PBIAS

Calibration Period

0.56

0.59

0.87

-2

Validation Period

0.40

0.76

0.93

1.8

To assess climate change, the analysis of the long-term trend (29 years) of variables such as (flow-flow, precipitation and temperature) was performed by applying the Mann-Kendall adapted location test and the orientation range was measured, using Sen's pending evaluator.

Sensitivity analysis

This analysis was taken a historical period of time for 12 years and available parameters for that period are 15. These subtle parameters were measured for model calibration.33 The residual parameters had no substantial result on runoff or overflow imitations. Variations on that standards don’t reason major variations in that the production of model. In sensitivity investigation consequences are exposed in Figure.4 Current calibration stood done for 9 years, since 2007-2015. Descriptions of some parameters in sensitive analysis represented in Figure.4.

Figure 4: Analysis of Sensitivity

Click here to view Figure

Results

Temperature analysis

The maximum and minimum temperature variation as shown in Figures below as 1.80C to 2.20C

Figure 5: Monthly Minimum Temperature(C0)

Click here to view Figure

Figure 6: Monthly Maximum Temperature(C0)

Click here to view Figure

The maximum and minimum temperature variation as shown in Figure. 5 and Figure. 6.as 1.80C to 2.20C The RCM (2022–2050) linear trend of the monthly temperature, stream-flow, and rainfall for RCP 4.5 and RCP 8.5 states, correspondingly with reference toward baseline period, the yearly average temperature increased by 2.20 C established on RCP 4.5 and RCP 8.5 states, respectively. For that the baseline period (2007–2018) and RCM (2022–2050) RCP 4.5 and RCP 8.5 scenario. The model evaluation for simulated monthly climate data output of baseline (2006–2018) and future data BCC-CSM1.1 and CCSM4 models (2022–2050) remained used to route the model. The maximum yearly temperature is 320C in the baseline period and the maximum annual temperature in the future is predicted as 29.80C in July, the minimum annual temperature in the baseline model is -4.40C, and modeled minimum annual temperature in the future is predicted -6.80C in January.

Precipitation analysis

By the end of March melting of the snow starts and the rainy season is coming, it can be observed in (RCP) models shown in Figure. 7.

Figure 7: Monthly Precipitation (mm)

Click here to view Figure

The amount of precipitation in the baseline period increased in both scenarios from 50 mm to 138 mm in Mar, Apr, May, and July, also the amount of precipitation in Feb is decreased due to the geographic location of the Chak watershed located in the snow region. by the end of March melting of the snow starts and the rainy season is coming, it can be observed in (RCP) models shown in fig.7.

Stream flow analysis

The stream-flow increases from Feb to Jun as 50 cum to 200 cum shown in Figure. 8.

Figure 8: Monthly Stream-flow (cum)

Click here to view Figure

Long-term variations in monthly stream flow are observed. the stream-flow increases from Feb to Jun as 50 cum to 200 cum shown in Figure. 8 It is all because after Feb, the warm season starts, and snow melts slowly, the snow effect the water balance and stream-flow, in the same time the rainy season is observed in Chak watershed area.

By the seasonal analysis for the Chak watershed, repesents in the Figure. 9, Figure. 10, Figure. 11 and Figure12 shows the precipitation as below.

Figure 9: Seasonal precipitation (mm)   

Click here to view Figure

Figure 10: Seasonal Minimum Temperature(oC)

Click here to view Figure

Figure 11 Seasonal Maximum Temparature(oC)

Click here to view Figure

Figure 12: Seasonal Stream-flow(cum)

Click here to view Figure

By the seasonal analysis for the Chak watershed, Figure. 9. represents the precipitation in winter and spring seasons are the rainiest, different models predicted the different values, but all show that precipitation is increasing in the upcoming associated with the baseline historical period. The Figure. 10. shows the minimum Temperature in the winter season is the minimum for all four models predicting that it is decreasing from -4.4oC to -6.8 oC. The Figure. 11. represents the maximum temperature in the summer season is maximum in the Chak watershed area and the maximum temperature is 32 oC predicted by models. Figure. 12.shows the seasonally stream-flow variations, which the spring season is the have more stream-flow, 461cum.

Conclusions

The results from the model show that there is an increase in stream flow in Chak water shed, the precipitation was found to be increasing at the rate of 50 mm to 200 mm monthly per period 2022-2050 from both (RCP 4.5 and RCP 8.5) scenarios, as the amount of precipitation in the baseline period increased in both scenarios from 50 mm to 138 mm in Mar, Apr, May, and July, also the amount of precipitation in Feb is decreased due to the geographic location of the Chak watershed located in the snow region, so by the end of March snow melting starts and the rainy season is coming. Forecast to be a reduction in the average yearly temperature of 2.7 °C, and a growth in the average monthly stream flow of 48.1cum to 150 cum from 2022 to 2050 under both (RCP 4.5 and RCP 8.5) scenarios. The Modeling outcomes show that these will principal to substantial changes in the basin's water balance and hydrological regime.

Due to the climate change impact, snow melt contributes to an increase in annual discharge of up to 91 % at the outlet of the basin and it will help to make floods, degradation of agricultural lands, in some cases losses of irrigation constructions and it will also help to destruct water main infrastructures and facilities located along in the Chak watershed.

As for the current literatures in Kabul River basin this is the first research using the SWAT model for the prediction of stream-flows under climate change scenarios in the Chak watershed. The impact on agriculture production, irrigation and urban society is very much required for understanding the effect of global climate variation on the hydrological effect of the mentioned area.

Acknowledgment

The authors would like to thank the Government of India for providing the opportunity to do this work under the Indian Council for Cultural Relations (ICCR) scholarship program, the Ministry of Energy and Water, and the Ministry of Agriculture, Irrigation and Livestock of the Islamic Republic of Afghanistan for providing field data. The author also would like to thank Prof. Raghavan Srinivasan, Director of Spatial Sciences Laboratory, AgriLife Research, Texas A&M University, College Station, USA, and Prof. Venkataramana Sridhar, Department of Biological Systems Engineering, Virginia Polytechnic Institute and State University, Blacksburg, USA for their constant support and encouragement.

Funding Sources

The author(s) received no financial support for the research, authorship, and/or publication of this article.

Conflict of Interest

The authors do not have any conflicts of interest.

Data Availability Statement

The datasets generated and/or analyzed during this study are publicly available. These data can be accessed freely at online site.

Ethics Statement

This research did not involve human participants, animal subjects, or any material that requires ethical approval.

Informed Consent Statement

This study did not involve human participants, and therefore, informed consent was not required.

Permission to reproduce material from other sources:

Not Applicable

Author Contributions

Naqiburahman RAHMANI: Conceptualization, Methodology, Writing Original Draft. Data Collection, Analysis.

Homayoun khoshnod: Writing – Review & Editing.

Deva PRATAP:  Visualization, Supervision, Project Administration.

Venkata Reddy KEESARA: Visualization, Supervision.

References

  1. Ummah MS. Harirud River Basin. Sustainability (Switzerland). 2019;11(1):1-14. http://scioteca.caf.com/bitstream/handle/ 123456789/1091/RED2017-Eng-8ene.pdf?sequence=12&isAllowed=y%0A http://dx.doi.org/10.1016/j.regsciurbeco. 2008.06.005%0Ahttps://www.researchgate.net/publication/305320484 _SISTEM_PEMBETUNGAN_TERPUSAT_STRATEGI_MELESTARI
  2. Amu T, Basin D. THE AFGHAN PART OF AMU DARYA BASIN Impact of Irrigation in Northern Afghanistan on Water Use in the Amu Darya Basin Coordinator of the Emergency Irrigation Rehabilitation Project of the Ministry of Energy and Water of Afghanistan, FAO Kabul.
  3. Tani H, Tayfur G. Modelling Rainfall-Runoff Process of Kabul River Basin in Afghanistan Using ArcSWAT Model. Journal of Civil Engineering and Construction. 2023;12(1):1-18. doi:10.32732/jcec.2023.12.1.1
    CrossRef
  4. Sediqi MN, Komori D. Assessing Water Resource Sustainability in the Kabul River Basin: A Standardized Runoff Index and Reliability, Resilience, and Vulnerability Framework Approach. Sustainability (Switzerland). 2024;16(1). doi:10.3390/su16010246
    CrossRef
  5. AFGHANISTAN CLIMATE RISK COUNTRY PROFILE.; 2021. www.worldbank.org
  6. Bahrawi JA, Elhag M, Aldhebiani AY, Galal HK, Hegazy AK, Alghailani E. Soil Erosion Estimation Using Remote Sensing Techniques in Wadi Yalamlam Basin, Saudi Arabia. Advances in Materials Science and Engineering. 2016;2016. doi:10.1155/2016/9585962
    CrossRef
  7. Zhao F, Wu Y, Qiu L, Sun Y, Sun L, Li Q, et al. Parameter uncertainty analysis of the SWAT model in a mountain-loess transitional watershed on the Chinese Loess Plateau. Water (Switzerland). 2018;10(6). doi:10.3390/w10060690
    CrossRef
  8. Wiedmann T, Lenzen M, Keyßer LT, Steinberger JK. Scientists’ warning on affluence. Nat Commun. 2020;11(1). doi:10.1038/s41467-020-16941-y
    CrossRef
  9. Zhou P, Ge Y, Jiang Y, Xie Y, Si Z, Yang H, et al. Assessment of Soil Erosion by the RUSLE Model Using Remote Sensing and GIS: A Case Study of Jilin Province of China. Published online 2020. doi:10.20944/preprints202011.0435.v1
    CrossRef
  10. Probst E, Mauser W. Climate Change Impacts on Water Resources in the Danube River Basin: A Hydrological Modelling Study Using EURO-CORDEX Climate Scenarios. Water (Switzerland). 2023;15(1). doi:10.3390/w15010008
    CrossRef
  11. Maqsoom A, Aslam B, Hassan U, Kazmi ZA, Sodangi M, Tufail RF, et al. Geospatial assessment of soil erosion intensity and sediment yield using the Revised Universal Soil Loss Equation (RUSLE) model. ISPRS Int J Geoinf. 2020;9(6). doi:10.3390/ijgi9060356
    CrossRef
  12. Yuksel A, Gundogan R, Akay AE. Using the remote sensing and GIS technology for erosion risk mapping of Kartalkaya Dam watershed in Kahramanmaras, Turkey. Sensors. 2008;8(8):4851-4865. doi:10.3390/s8084851
    CrossRef
  13. Suresh Kumar •, Kalambukattu JG. Modeling and Monitoring Soil Erosion by Water Using Remote Sensing Satellite Data and GIS.; 2022.
    CrossRef
  14. YUKSEL  Aladdin EARM. Using The Wepp Model to Predict Sediment yield. Published online 2001.
  15. Mearns LO, Gutowski W, Jones R, Leung R, Mcginnis S, Nunes A, et al. A regional climate change assessment program for North America. Eos (Washington DC). 2009;90(36):311. doi:10.1029/2009EO360002
    CrossRef
  16. Murtinho F. What facilitates adaptation? An analysis of community-based adaptation to environmental change in the Andes. Int J Commons. 2016;10(1):119-141. doi:10.18352/ijc.585
    CrossRef
  17. King M, Sturtewagen B. Making the Most of Afghanistan’s River Basins Opportunities for Regional Cooperation. www.ewi.info
  18. Nepal S. Impacts of climate change on the hydrological regime of the Koshi river basin in the Himalayan region. Journal of Hydro-Environment Research. 2016;10:76-89. doi:10.1016/j.jher.2015.12.001
    CrossRef
  19. Dile YT, Daggupati P, George C, Srinivasan R, Arnold J. Introducing a new open source GIS user interface for the SWAT model. Environmental Modelling and Software. 2016;85:129-138. doi:10.1016/j.envsoft.2016.08.004
    CrossRef
  20. Ayivi F, Jha MK. Estimation of water balance and water yield in the Reedy Fork-Buffalo Creek Watershed in North Carolina using SWAT. International Soil and Water Conservation Research. 2018;6(3):203-213. doi:10.1016/j.iswcr.2018.03.007
    CrossRef
  21. Akhtar M, Ahmad N, Booij MJ. The impact of climate change on the water resources of Hindukush-Karakorum-Himalaya region under different glacier coverage scenarios. J Hydrol (Amst). 2008;355(1-4):148-163. doi:10.1016/j.jhydrol.2008.03.015
    CrossRef
  22. Thilakarathne M, Sridhar V. Characterization of future drought conditions in the Lower Mekong River Basin. Weather Clim Extrem. 2017;17:47-58. doi:10.1016/j.wace.2017.07.004
    CrossRef
  23. Mor JR, Ruhí A, Tornés E, Valcárcel H, Muñoz I, Sabater S. Dam regulation and riverine food-web structure in a Mediterranean river. Science of the Total Environment. 2018;625:301-310. doi:10.1016/j.scitotenv.2017.12.296
    CrossRef
  24. Bajracharya AR, Bajracharya SR, Shrestha AB, Maharjan SB. Climate change impact assessment on the hydrological regime of the Kaligandaki Basin, Nepal. Science of the Total Environment. 2018;625:837-848. doi:10.1016/j.scitotenv.2017.12.332
    CrossRef
  25. Jha M, Pan Z, Tackle ES, Gu R. Impacts of climate change on streamflow in the Upper Mississippi River Basin: A regional climate model perspective. Journal of Geophysical Research D: Atmospheres. 2004;109(9). doi:10.1029/2003JD003686
    CrossRef
  26. Monowar Kamal G, Field Coordinator A. SUPPORTED BY SDC WATERSHED ATLAS OF AFGHANISTAN IST EDITION-WORKING DOCUMENT FOR PLANNERS Raphy Favre, Watershed Consultant TABLE OF CONTENT.; 2004.
  27. AFGHANISTAN CLIMATE RISK COUNTRY PROFILE.; 2021.
  28. Sridhar V, Kang H, Ali SA. Human-induced alterations to land use and climate and their responses for hydrology and water management in the Mekong River Basin. Water (Switzerland). 2019;11(6). doi:10.3390/w11061307
    CrossRef
  29. Abbaspour KC, Yang J, Maximov I, Siber R, Bogner K, Mieleitner J, et al. Modelling hydrology and water quality in the pre-alpine/alpine Thur watershed using SWAT. J Hydrol (Amst). 2007;333(2-4):413-430. doi:10.1016/j.jhydrol.2006.09.014
    CrossRef
  30. AFGHANISTAN CLIMATE RISK COUNTRY PROFILE.; 2021. www.worldbank.org
  31. Hernegran R, Norstedts Tryckeri G. Transboundary Water Management as an International Public Good Ministry for Foreign Affairs Ministry for Foreign Affairs of Sweden.; 2001.
  32. Kang H, Sridhar V. Combined statistical and spatially distributed hydrological model for evaluating future drought indices in Virginia. J Hydrol Reg Stud. 2017;12:253-272. doi:10.1016/j.ejrh.2017.06.003
    CrossRef
  33. Arnold JG, Moriasi DN, Gassman PW, Abbaspour KC, White MJ, Srinivasan R, et al. SWAT: MODEL USE, CALIBRATION, AND VALIDATION. Trans ASABE. 55(4):1491-1508. http://swatmodel.tamu.edu
    CrossRef
  34. Solomon S (Atmospheric chemist), Intergovernmental Panel on Climate Change., Intergovernmental Panel on Climate Change. Working Group I. Climate Change 2007: The Physical Science Basis: Contribution of Working Group I to the Fourth Assessment Report of the Intergovernmental Panel on Climate Change. Cambridge University Press; 2007.
  35. Juniati AT, Sutjiningsih D, Soeryantono H, Kusratmoko E. Proposing water balance method for water availability estimation in Indonesian regional spatial planning. In: IOP Conference Series: Earth and Environmental Science. Vol 106. Institute of Physics Publishing; 2018. doi:10.1088/1755-1315/106/1/012073
    CrossRef
  36. Dile YT, Daggupati P, George C, Srinivasan R, Arnold J. Introducing a new open source GIS user interface for the SWAT model. Environmental Modelling and Software. 2016;85:129-138. doi:10.1016/j.envsoft.2016.08.004
    CrossRef
  37. Hussainzada W, Lee HS. Hydrological modelling for water resource management in a semi-arid mountainous region using the soil and water assessment tool: A case study in northern Afghanistan. Hydrology. 2021;8(1):1-21. doi:10.3390/hydrology8010016
    CrossRef
  38. Arnold JG, Moriasi DN, Gassman PW, Abbaspour KC, White MJ, Srinivasan R, et al. SWAT: MODEL USE, CALIBRATION, AND VALIDATION. Trans ASABE. 55(4):1491-1508. http://swatmodel.tamu.edu
    CrossRef
  39. Zhao F, Wu Y, Qiu L, Sun Y, Sun L, Li Q, et al. Parameter uncertainty analysis of the SWAT model in a mountain-loess transitional watershed on the Chinese Loess Plateau. Water (Switzerland). 2018;10(6). doi:10.3390/w10060690
    CrossRef
  40. Farooq M, Shafique M, Khattak MS. Flood hazard assessment and mapping of River Swat using HEC-RAS 2D model and high-resolution 12-m TanDEM-X DEM (WorldDEM). Natural Hazards. 2019;97(2):477-492. doi:10.1007/s11069-019-03638-9
    CrossRef
  41. Gassman PW, Reyes MR, Green CH, Arnold JG, Gassman PW. THE SOIL AND WATER ASSESSMENT TOOL: HISTORICAL DEVELOPMENT, APPLICATIONS, AND FUTURE RESEARCH DIRECTIONS Invited Review Series. Trans ASABE. 2007;50(4):1211-1250.
    CrossRef
  42. Tani H, Tayfur G. Modelling Rainfall-Runoff Process of Kabul River Basin in Afghanistan Using ArcSWAT Model. Journal of Civil Engineering and Construction. 2023;12(1):1-18. doi:10.32732/jcec.2023.12.1.1
    CrossRef