Application of Bentonite and Modified Bentonite as Green Adsorbent for Cadmium Removal from Aqueous Medium
1
Department of Chemistry,
Tilka Manjhi Bhagalpur University,
Bhagalpur,
Bihar
India
Corresponding author Email: ashokjha39@gmail.com
DOI: http://dx.doi.org/10.12944/CWE.20.3.14
Copy the following to cite this article:
Verma S, Sikdar S, Jha A. K, Kumari P. Application of Bentonite and Modified Bentonite as Green Adsorbent for Cadmium Removal from Aqueous Medium. Curr World Environ 2025;20(3). DOI:http://dx.doi.org/10.12944/CWE.20.3.14
Copy the following to cite this URL:
Verma S, Sikdar S, Jha A. K, Kumari P. Application of Bentonite and Modified Bentonite as Green Adsorbent for Cadmium Removal from Aqueous Medium. Curr World Environ 2025;20(3).
Download article (pdf)
Citation Manager
Publish History
Select type of program for download
| Endnote EndNote format (Mac & Win) | |
| Reference Manager Ris format (Win only) | |
| Procite Ris format (Win only) | |
| Medlars Format | |
| RefWorks Format RefWorks format (Mac & Win) | |
| BibTex Format BibTex format (Mac & Win) |
Article Publishing History
| Received: | 2025-09-05 |
|---|---|
| Accepted: | 2026-01-01 |
| Reviewed by: |
Megha Verma
|
| Second Review by: |
Grigorios Kyriakopoulos
|
| Final Approval by: | Dr. Gangadhar Andaluri |
Introduction
Geological weathering, geochemical reactions due to the association of cadmium ores along with zinc ores contribute to the cadmium contamination in water.1,2 Anthropogenic activities such as industrial discharge, solid waste disposals, battery manufacturing, and metal work industries contribute significantly to the cadmium contamination.3,4 Activated carbon, agriculture wastes, cynodon dactyon (perrenial grass) are few prominent effective bio-adsorbents used for the remediation of heavy metals, but they face challenges in separation and generate large sludge also.5,6 Reverse osmosis, biosoption, electrolysis are the traditional and common methods for removal of heavy metals, but the bentonites exhibit superiority due to high surface area.7,8 Bentonites have mesopores and on modification with Sapindus mukorossi, saponins present enhance the surface area and several functional groups such as amino and carboxylic get fixed on the surface. Lignins present in the Sepindus mukorossi, also contribute to the enhanced adsorption potential of modified bentonites. Lignins and saponins are also present in aloe vera, which get attached to the surface of the bentonites. Thus, modified bentonites contribute to a great extent for removal of heavy metals from aqueous medium. Bentonites are smectite group of minerals having 2:1 structure. Na+, K+, Ca2+, and Mg2+ are the exchangeable cations which attribute to the cation exchange.9 Major oxides of Si, Al, Fe, Ca, and Mg are present which also contribute to the adsorption of heavy metals. The mesopores present in the bentonite mineral adsorbs of Cd+2 ions from aqueous medium. The bentonite mineral has layered structure as a result of which it possesses intercalation property. Intercalation may be done with Fe+3 ions and Cetyl trimethyl ammonium bromide (CTAB) with a view to increase remediation potential of bentonite.10–12 The present paper has used modification of bentonite with extract of aloe vera which has scientific name Aloe barbadensis Miller and Sapindus mukorossi.13,14 Adsorption of heavy metals such as Cr(VI), Pb(II) in general and Cd(II) to in particular maybe attributed to the presence of mesopores as well as exchangeable cations. Adsorption behaviour was investigated to see the best fit of experimental results with Freundlich and Langmuir adsorption isotherms.15,16 Freundlich adsorption isotherm refers to multilayer adsorption whereas, Langmuir refers to monolayer adsorption. In view of high costs, ecological damage in phytoremediation and bioremediation, cadmium immobilization by bentonite as well as bentonite modified with extract of Sapindus mukorossi has emerged as a low cost method of remediation.
Materials and Methods
Preparation of modified bentonite
The bentonite was procured from Barmer, Rajasthan and the Rajmahal hills of Jharkhand. The collected bentonite was powdered to 300 mesh sieve and dried in oven at 80oC for 2 hours. The suspension of bentonite gives blue colour with benzidine solution indicating the presence of montmorillonite unit in the bentonite. Now 20g of bentonite suspension was prepared in 800 mL of water and 100 mL of Sapindus mukorossi extract was added to it followed by stirring for 3 hours on a magnetic stirrer. It was filtered and dried in an oven after washing the bentonite mass several times with deionized water. Thus, modified bentonite was obtained for treatment with 1 ppm Cd (II) solution. Similar experiments were repeated to get bentonite modified with Aloe vera extract. 100 mL 1 ppm Cd(II) solution was taken in a conical flask and treated with 1g modified bentonite up to 30, 60 and 90 minutes.
Instrumental studies
The residual concentrations were known from UV Double beam spectrophotometer of the model Systronics 2203 and also by Inductively Coupled Plasma – Atomic Emission Spectroscopy (ICP – AES) at ppb level. The modified bentonite was characterized by Fourier Transform Infrared Spectroscopy (FTIR), thermo-gravimetric analysis (TGA), and X-ray diffraction.17,18 FTIR indicated the presence of functional groups in the bentonite with Perkin Elmer Spectrum version 10.4.1.
SiO2 and Al2O3 have been determined as alizarin red – S complex from UV Double beam spectrophotometer of Systronics 2203 model. ICP – AES analyzer Perkin Elmer AVIO 560 max (Model ULTIMA – 2, Horiba Jobin, YVON, France) was used to analyze cadmium concentration in the samples.
The diffraction pattern in XRD also indicated the presence of Si and Al as main constituents of bentonite. A specimen length of 10 nm and 0.1000 mm of receiving slit size was used for diffraction in Bruker D8 Advance.
Pyris Diamond TGA/DTA (Perkin – Elmer, STA – 6000) thermal analyzer was used to know the weight loss in TGA and endothermic peak in DTA.
The BET surface area was measured by Micrometrics 3 flex version 4.05 serial H941 Unit/Part 2. The modification of bentonite by natural saponin containing extract of Sapindus mukorossi enhanced the surface area of bentonite.
SEM analysis was done to know the surface morphology with the help of ZEISS EVOMA 10, Germany. From the SEM images, it became clear that structure of bentonite resembled with smectite group.
Results
Table 1: Residual Concentrations of Cd(II) at 228.802 nm after treatment with 100 mL 1 ppm Cd(II) solution.
Sl. No. | Sample Code | Time (min) | Residual Conc. (ppm) | % Removal |
1 | BBRC-1 | 15 | 0.0282 | 97.18 |
2 | BBRC-2 | 30 | 0.01004 | 98.99 |
3 | BBRC-3 | 60 | 0.0084 | 99.16 |
4 | BBRC-4 | 90 | 0.01006 | 98.99 |
5 | BB2C1 | 15 | 0.01006 | 98.99 |
6 | BB2C2 | 30 | 0.00932 | 99.068 |
7 | BB2C3 | 60 | 0.01038 | 98.96 |
8 | BB2C4 | 90 | 0.0081 | 99.19 |
9 | BBAC-1 | 15 | 0.00863 | 99.14 |
10 | BBAC-2 | 30 | 0.0097 | 99.03 |
11 | BBAC-3 | 60 | 0.00905 | 99.09 |
12 | BBAC-4 | 90 | 0.01067 | 98.93 |
13 | SB2AV-Cd3 | 30 | 0.0088 | 99.12 |
14 | SB2AV-Cd6 | 60 | 0.0089 | 99.11 |
15 | SB2AV-Cd9 | 90 | 0.0077 | 99.23 |
16 | SB7AV-Cd3 | 30 | 0.01007 | 99.99 |
17 | SB7AV-Cd6 | 60 | 0.01046 | 98.95 |
18 | SB7AV-Cd9 | 90 | 0.0886 | 91.14 |
19 | SB2RS-Cd3 | 30 | 0.0087 | 99.13 |
20 | SB2RS-Cd6 | 60 | 0.00787 | 99.21 |
21 | SB2RS-Cd9 | 90 | 0.00775 | 99.22 |
22 | SB7RS-Cd3 | 30 | 0.00829 | 99.17 |
23 | SB7RS-Cd6 | 60 | 0.00753 | 99.24 |
24 | SB7RS-Cd9 | 90 | 0.00804 | 99.19 |
Table 2: Values of qt, Ct/qt, log qt and log Ct
Sample code | Initial Conc. (ppm) | Ct | qt | Ct/qt | log qt | log Ct |
BBRC1 | 1 | 0.0282 | 0.09718 | 0.29018317 | -1.01242311 | -1.54975089 |
BBRC2 | 1 | 0.01004 | 0.099 | 0.10141824 | -1.00438235 | -1.99826629 |
BBRC3 | 1 | 0.0084 | 0.09916 | 0.08471158 | -1.00366348 | -2.07572071 |
BBRC4 | 1 | 0.01006 | 0.09899 | 0.10162232 | -1.00439113 | -1.99740202 |
BB2C1 | 1 | 0.01006 | 0.09899 | 0.10162232 | -1.00439113 | -1.99740202 |
BB2C2 | 1 | 0.00932 | 0.09907 | 0.0940768 | -1.0040666 | -2.03058409 |
BB2C3 | 1 | 0.01038 | 0.09896 | 0.10488875 | -1.00453154 | -1.98380265 |
BB2C4 | 1 | 0.0081 | 0.09919 | 0.08166146 | -1.00353211 | -2.09151498 |
BBAC1 | 1 | 0.00863 | 0.09914 | 0.08705125 | -1.00376423 | -2.0639892 |
BBAC2 | 1 | 0.0097 | 0.09903 | 0.09795012 | -1.00423322 | -2.01322827 |
BBAC3 | 1 | 0.00905 | 0.0991 | 0.0913265 | -1.00394826 | -2.04335142 |
BBAC4 | 1 | 0.01067 | 0.09893 | 0.10785077 | -1.00465882 | -1.97183558 |
SB2AV-Cd3 | 1 | 0.0088 | 0.09912 | 0.08878128 | -1.00383871 | -2.05551733 |
SB2AV-Cd6 | 1 | 0.0089 | 0.09911 | 0.08979921 | -1.00388252 | -2.05060999 |
SB2AV-Cd9 | 1 | 0.0077 | 0.09923 | 0.0775975 | -1.00335701 | -2.11350927 |
SB7AV-Cd3 | 1 | 0.01007 | 0.09899 | 0.10172436 | -1.00439551 | -1.99697053 |
SB7AV-Cd6 | 1 | 0.01046 | 0.09895 | 0.10570568 | -1.00456665 | -1.98046832 |
SB7AV-Cd9 | 1 | 0.0886 | 0.09114 | 0.97213079 | -1.04029098 | -1.05256628 |
SB2Rs-Cd3 | 1 | 0.0087 | 0.09913 | 0.08776354 | -1.00379489 | -2.06048075 |
SB2Rs-Cd6 | 1 | 0.00787 | 0.09921 | 0.07932428 | -1.00343142 | -2.10402527 |
SB2Rs-Cd9 | 1 | 0.00775 | 0.09923 | 0.07810532 | -1.00337889 | -2.1106983 |
SB7Rs-Cd3 | 1 | 0.00829 | 0.09917 | 0.08359299 | -1.00361531 | -2.08144547 |
SB7Rs-Cd6 | 1 | 0.00753 | 0.09925 | 0.07587131 | -1.00328261 | -2.12320502 |
SB7Rs-Cd9 | 1 | 0.00804 | 0.0992 | 0.08105166 | -1.00350584 | -2.09474395 |
The samples of BBRC to BB2 starts with 15 minutes but the SB2 to SB7 time starts with 30 minutes to get uniform graphical results.
Discussions
Kinetic study
Kinetic studies were done to know the progress of reaction with time. Experimental results were analyzed to see the best fit either for pseudo first order reaction or for pseudo second order reaction. When log Ct is plotted against t, pseudo first order reaction is obtained. A plot of t/qt versus t gives pseudo second order reaction. The straight lines obtained [Figure 1(a) to 1(g)] clearly indicated that the experimental results were the best fit for pseudo second order reaction.
![]() | Figure 1: Pseudo Second Order Kinetics for (a) BB2C1 to BB2C4, (b) BBAC1 to BBAC4, (c) BBRC1 to BBRC4, (d) Sb2AVCd3 to Sb2AVCd9, (e) Sb2RsCd3 to Sb2RsCd9, (f) Sb7AVCd3 to Sb7AVCd9, (g) Sb7RsCd3 to Sb7RsCd9.
|
Adsorption isotherms
Freundlich and Langmuir isotherms were evaluated to give an insight into the adsorption mechanism of cadmium. A plot of Ct/qt versus Ct gives the Langmuir isotherm and a plot of log qt versus log Ct gives Freundlich isotherm. Linearity in the graph [Figure 2(a) to 2(g)] clearly showed that the experimental data was best fit for Langmuir isotherm. In Langmuir adsorption isotherm, all adsorption isotherm sites on the surface of adsorbent have the same energy. The Freundlich isotherm describes multilayer adsorption in empirical equation form qt = k. Ct1/n
![]() | Figure 2: Langmuir adsorption isotherm for (a) BB2C1 to BB2C4, (b) BBAC1 to BBAC4, (c) BBRC1 to BBRC4, (d) Sb2AVCd3 to Sb2AVCd9, (e) Sb2RsCd3 to Sb2RsCd9, (f) Sb7AVCd3 to Sb7AVCd9, (g) Sb7RsCd3 to Sb7RsCd9
|
![]() | Figure 3: Freundlich adsorption isotherm for (a) BB2C1 to BB2C4, (b) BBAC1 to BBAC4, (c) BBRC1 to BBRC4, (d) Sb2AVCd3 to Sb2AVCd9, (e) Sb2RsCd3 to Sb2RsCd9, (f) Sb7AVCd3 to Sb7AVCd9, (g) Sb7RsCd3 to Sb7RsCd9.
|
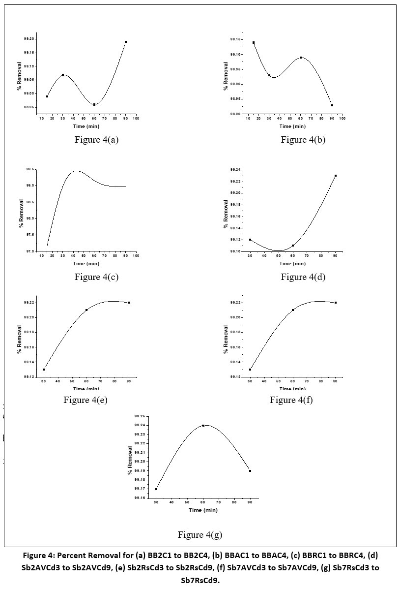
Percent removal
The percentage removal of Cd (II) ions from aqueous medium varies from 91.14 % to 99.99% depending on the adsorbent quality (Table – 1). The values of percent removal indicate bentonite and modified bentonite as an efficient adsorbent for Cd(II) from aqueous medium [Figure 4(a) to 4(g)]
![]() | Figure 4: Percent Removal for (a) BB2C1 to BB2C4, (b) BBAC1 to BBAC4, (c) BBRC1 to BBRC4, (d) Sb2AVCd3 to Sb2AVCd9, (e) Sb2RsCd3 to Sb2RsCd9, (f) Sb7AVCd3 to Sb7AVCd9, (g) Sb7RsCd3 to Sb7RsCd9.
|
5. Conclusion: The experimental data showed the best fit for pseudo second order reaction kinetic model and Langmuir adsorption isotherm. Bentonite minerals may be a low cost and eco-friendly alternative for the removal of Cd (II) from aqueous medium. The percentage removal of Cd (II) form aqueous medium by bentonite and modified bentonite is above 90 % and also satisfactory.
Acknowledgement
The authors would like to thank Prof. Chitta Ranjan Sinha, Jadavpur University, Jadavpur and Prof. Alakesh Bisai, IISER Kolkata for providing the instrumentation facilities of FTIR and SEM.
Funding Sources
The author(s) received no financial support for the research, authorship, and/or publication of this article.
Conflict of Interest
The authors do not have any conflict of interest.
Data Availability Statement
All the data used in the manuscript are available with the author and will be provided when needed.
Ethics Statement
This research did not involve human participants, animal subjects, or any material that requires ethical approval.
Informed Consent Statement
This study did not involve human participants, and therefore, informed consent was not required.
Author Contributions
Each author mentioned has significantly and directly contributed intellectually to the project and has given their approval for its publication.
Permission to reproduce material from other sources
Not Applicable
Author Contributions
Sachin Verma: Laboratory work in the department.
Subhajit Sikdar: Conceptualization, Methodology, writing Original Draft.
Ashok Kumar Jha: Visualization, supervision, project administration.
Pallavi Kumari: Helped in conducting analytical tests outside the laboratory.
References
- Prakash C. Loni, Biqing L, Ching-Yu C, Yao-Chang L, Jagat R, Ci-Hong C, et al., Enhanced removal of antimony, arsenic and cadmium by bone char in co-contaminated aqueous systems: A lattice level mechanistic understanding. Journal of Environmental Chemical Engineering. 2025; 13(4): 117281. https://doi.org/10.1016/j.jece.2025.117281.
CrossRef - Jha A. K, Kumari K. Cadmium (II) removal by Cynodon Dactylon and Orange Peel Powder from aqueous medium by adsorption. Science Academique. 2020; 1(1): 21 – 30.
- Yuxiong H, Arturo A. K. EDTA functionalized magnetic nanoparticle sorbents for cadmium and lead contaminated water treatment. Water Research. 2015;80:159-168. https://doi.org/10.1016/j.watres.2015.05.011.
CrossRef - Abd-Elrahman R, Abd El-Lateef H. M, Abo El?Maali N, Abdel-Mawgoud A. M, Mahmoud E. Highly efficient magnetic iron oxides-polyaniline nanocomposite for electrochemical removal of lead and cadmium ions from contaminated water. Journal of the Taiwan Institute of Chemical Engineers. 2025; 173: 106187. https://doi.org/10.1016/j.jtice.2025.106187.
CrossRef - Hongping C, Zhu T, Peng W, Fang-Jie Z, Geographical variations of cadmium and arsenic concentrations and arsenic speciation in Chinese rice. Environmental Pollution. 2018; 238: 482-490, https://doi.org/10.1016/j.envpol.2018.03.048.
CrossRef - Kumar U, Jha A. K, Kumar N. Cadmium Toxicity in the Environment: Sources, Issues, Remediation, and Challenges. 2024; 10.1007/978-3-031-65611-8_1.
CrossRef - Hashim M. A, Mukhopadhyay S, Sahu J. N, Sengupta B. Remediation technologies for heavy metal contaminated groundwater. Journal of Environmental Management; 2011; 92: 10. 2355-2388. https://doi.org/10.1016/j.jenvman.2011.06.009.
CrossRef - Xiaomin T, Huaili Z, Houkai T, Yongjun S, Jinsong G, Wanying X, Qingqing Y, Wei C. Chemical coagulation process for the removal of heavy metals from water: a review. Desalination and Water Treatment. 2016; 57(4). 1733-1748. https://doi.org/10.1080/19443994.2014.977959.
CrossRef - Jha A. K, Mishra B. Removal of fluoride by bentonite minerals of Rajmahal Hills. Journal of the Indian Chemical Society. 2012; 89: 519-521.
- Yunyan Z, Yuming C, Yiming P, Rui D, Hui C, Yanqing W. Preparation of CTAB intercalated bentonite for ultrafast adsorption of anionic dyes and mechanism study. Colloids and Surfaces A: Physicochemical and Engineering Aspects. 2023; 658: 130705. https://doi.org/10.1016/j.colsurfa.2022.130705.
CrossRef - Jia-Lin L, Wei-Cong Q, Jian-Zhong G, Yan S, Bing L. Selective removal of anionic and cationic dyes by magnetic Fe3O4-loaded amine-modified hydrochar, Bioresource Technology. 2021; 320(A): 124374. https://doi.org/10.1016/j.biortech.2020.124374.
CrossRef - Zahra J, Maryam K, Pouya M. Application of Modified Bentonite for Efficient Water Purification: A Case of Cr(VI) Adsorption. Journal of Particle Science and Technology. 2024; 10(2): 117 – 128. 10.22104/jpst.2025.7462.1273.
- Jha A. K, Sharma U, Samanta S. Kinetic and Thermodynamic Studies of Heavy Metal Remediation by Modified Bentonite. Water, Air, & Soil Pollution. 2024; 235. 10.1007/s11270-024-07260-9.
CrossRef - Verma S, Jha A. K, Kumari P. Studies on removal of Pb (II) by modified bentonite. International Journal of Chemical and Biochemical Sciences. 2024; 25(14): 548 – 552.
- Yubo Y, Meng D, Zhiwen S, Qiao L, Muhammad F, Xiaoxin Z, Yuanxin C, Zhijie Z, Zhe Z, Shouyong Z, Exploring the potential of green-synthesized hydroxyapatite for cadmium remediation in paddy soils. Ecotoxicology and Environmental Safety. 2025; 297: 118267. https://doi.org/10.1016/j.ecoenv.2025.118267.
CrossRef - Majumder S, Jha A. K, Mishra K. K. Powdered X-ray diffraction, FTIR, TGA and DTA studies of montmorillonite derivatives. Journal of Indian Chemical Society. 2020; 97(9b): 1604 – 1608.
- Houwei J, Hao W, Qingchun Y, Xin X, Dongshuang W, Bin W, Simultaneous removal of Cr(VI), Cd(II) and As(III) in groundwater by ZVI-biochar based composite: Synergy, performance and mechanism. Process Safety and Environmental Protection. 2025; 201(A): 107460. https://doi.org/10.1016/j.psep.2025.107460.
CrossRef - Elkhatib E, Moharem M, Saad A, Attia F. Novel metal based nanocomposite for rapid and efficient removal of lead from contaminated wastewater sorption kinetics, thermodynamics and mechanisms. Scientific Reports. 2022; 12: 8412. 10.1038/s41598-022-12485-x.
CrossRef
Abbreviations List
BBRC: Barmer bentonite modified with reetha solution,
BB2: Barmer bentonite,
SB2 to SB7: samples of Rajmahal bentonite.






